Mga Halimbawa Halimbawa Ng Cohesive Devices

Mag-post ng isang Komento

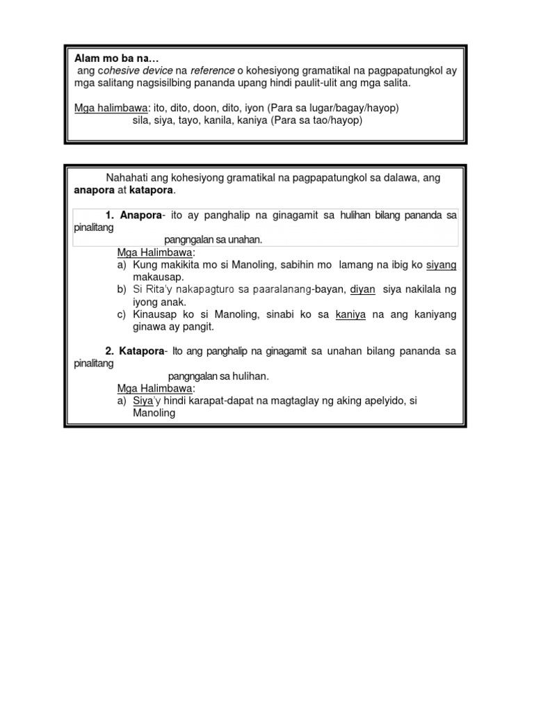
Iba pang gamit ng cohesive device ay pagpapahayag ng pagdaragdag na madalas makita sa unahan ng pangungusap bagamat makikita rin sa gitna ng pangungusap bilang pang-ugnay sa dalawang sugnay. Ito dito doon iyon- bagaylugarhayop Sila Siya Tayo Kanila Kaniya- taohayop.

27

Halimbawa sa cohesive devices.

Mga halimbawa halimbawa ng cohesive devices. Wastong Gamit ng Cohesive Device. Gumagamit ng malinaw na pang-ugnay at cohesive device upang ipakita ang pagkakasunod-sunod at ugnayan ng mga bahagi ng teksto. Videos you watch may be added to the TVs watch history and influence TV recommendations.

Dalawang uri ng reperensiya Anapora Kung kailangang bumalik sa teksto upang malaman kung sino o ano ang tinutukoy. GAMIT NG COHESIVE DEVICES - Upang maging mas mahusay ang pagkakahabi ng tekstong deskriptibo bilang bahagi ng iba pang uri ng teksto o kayay maging mas malinaw ang anumang uri. Ang Cohesive Device Reference o Kohesyong Gramatikal ay mga salitang nagiging pananda para hindi maging paulit ano ano ang cohesive devices magbigay ng tatlo.

Kailangan mong mag aral ng mabuti para ma ka kabalo ka mag answer. If playback doesnt begin shortly try restarting your device. Ang panghalip naman nito ay sumusunod sa loob din ng pangungusap na iyon o maaaring nasa kasunod na pangungusap.

Kohesyong Gramatikal o Cohesive Device Ang Kohesyong gramatikal ay mga salitang nagsisilbing pananda upang hindi paulit-ulit ang mga salita. Pagpapahayag ng Pagdaragdag Halimbawa. Reperensiya Reference Ang cohesive device na ito ay ang paggamit ng mga salitang maaring tumukoy sa paksang pinag-uusapan.

Halimbawa ng mga pangungusap sa cohesive devices. KOHESYONG GRAMATIKAL AT URI NG PANG-ABAY Pangkat IV. Nagagamit ang mga cohesive device hindi lamang sa mga unang pangungusap kung hindi sa buong pagsulat ng isang tekstong impormatibo.

Katapora Nauna ang panghalip at malalaman lamang kapag ipinagpatuloy ang pagbabasa 2. To avoid this cancel and sign in to YouTube on your computer. Ganoon din gayundin saka bilang karagdagan dagdagan pa rito.

ANAPORA ang panghalip kapag ito ay nasa hulihan ng pangungusap bilang kahalili ng. Tinatawag ding cohesive devices ang mga panghalip. Diko po alam ang sagot sorry po.

However in conclusion for example moreover also equally likewise so therefore thus because. Ang mga panghalip ay ginagamit bilang panghalili sa pangngalan nang sa gayon ay hindi ito maulit-ulit. Kohesyong Gramatikal Cohesive Device Reference Cohesive Device Reference o kohesiyong gramatikal ay nagpapatungkol sa mga salitang nagsisilbing pandanda upang hindi maging paulit-ulit ang mga salita.

Halimbawa ng mga pangungusap sa cohesive devices. Cohensive Devices Kohesyong Gramatikal Anapora Katapora Ito ay mga salitang tulad ng panghalip na nagkakawing sa mga salita parirala at sugnayNakababagot na mabasa at marinig ang mga salitang paulit-ulit na ginagamit sa isang texto o pahayag. Ang Cohesive Device Reference o Kohesyong Gramatikal ay mga salitang nagiging pananda para hindi maging paulit-ulit ang isang salita o mga salita.

Good in specific context. Anapora Sa anapora inuuna ang pagbanggit ng pangngalan. Lektura 4 Gamit ng Kohesyong Gramatikal Cohesive Devicespptx.

10 halimbawa ng ellipsis 3 halimbawa ng ellipsis 5 halimbawa ng ellipsis halimbawa ng ellipsis halimbawa ng ellipsis cohesive devices halimbawa ng ellipsis na pangungusap halimbawa ng ellipsis sa filipino halimbawa ng ellipsis sa pangungusap magbigay ng halimbawa ng ellipsis mga halimbawa ng ellipsis. COHESIVE DEVICES - Ang mga panghalip ay ginagamit bilang panghalili sa pangngalan nang sa gayon ay hindi ito maulit- ulit. Ang mga cohesive device ay maraming gamit tulad ng pagpapaliwanag sa pagbibigay-halimbawa sa mga gamit ng wika sa lipunan.

Halimbawa ng cohesive devices. Bakit mahalagang gamitin ang cohesive device sa pagpapaliwanag at pagbibigay-halimbawa sa mga gamit ng wika sa lipunan. Tinatawag ding cohesive devices ang mga panghalip.

Week2 Cohesive Devices Docx Limang Pangunahing Cohesive Device 1 Reperensiya Reference Ang Cohesive Device Na Ito Ay Ang Paggamit Ng Mga Salitang Course Hero

Cohesive Device

Gamit Ng Cohesive Devices Tekstong Deskriptibo Naglalarawan Youtube

Kohesyong Gramatikal O Cohesive Devices Youtube

Deskriptibo

Lektura 4 Gamit Ng Kohesyong Gramatikal Cohesive Devices Pptx Youtube

Lektura 4 Gamit Ng Kohesyong Gramatikal Cohesive Devices Pptx Youtube

Mga Panandang Pandiskurso Cohesive Devices Youtube

Kohesyong Gramatikal At Uri Ng Pang Abay


Related Posts

Mag-post ng isang Komento

Subscribe Our Newsletter